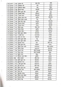
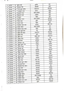
CG POLICE TRANSFER BREAKING : 219 policemen transferred simultaneously
रायगढ़। छत्तीसगढ़ के रायगढ़ जिले में पुलिस विभाग में बड़ा प्रशासनिक फेरबदल हुआ है। एसएसपी शशि मोहन सिंह ने कानून व्यवस्था को मजबूत करने के लिए एक साथ 219 पुलिस अधिकारियों और कर्मचारियों का तबादला कर दिया है।
इस बड़े ट्रांसफर में सब-इंस्पेक्टर से लेकर आरक्षक स्तर तक के कर्मचारी शामिल हैं। बताया जा रहा है कि जिले के करीब 15 थानों के प्रभारी भी इस फेरबदल की जद में आए हैं। इसके अलावा लगभग 40 सब-इंस्पेक्टर और 120 आरक्षकों को भी इधर से उधर किया गया है।

जानकारों के मुताबिक यह रायगढ़ पुलिस के इतिहास की सबसे बड़ी प्रशासनिक कार्रवाई मानी जा रही है। लंबे समय से एक ही थाने में जमे पुलिसकर्मियों को हटाकर नई जगहों पर पदस्थ किया गया है।
बताया जा रहा है कि हाल के दिनों में जिले में चोरी, लूट और पॉक्सो जैसे मामलों में बढ़ोतरी देखी गई थी। इसी के बाद पुलिस की कार्यप्रणाली को लेकर सवाल उठ रहे थे।
एसएसपी ने साफ संदेश दिया है कि जिले में जीरो टॉलरेंस की नीति पर काम होगा। नए थाना प्रभारियों और पुलिसकर्मियों को जनता से जुड़कर काम करने और अपराध के खिलाफ सख्त कार्रवाई करने के निर्देश दिए गए हैं।
इसके साथ ही जिले में सीसीटीवी सर्विलांस बढ़ाने और ड्रोन तकनीक का इस्तेमाल करने पर भी जोर दिया जा रहा है। विभाग का कहना है कि इस कदम से अपराध पर लगाम लगाने में मदद मिलेगी।

